希望大家不要只收藏不点赞,也当作是对我的小小的支持了~~~
温馨提示:内容较长,需耐心观看
目录 一、定义式 二、函数公式 a.倒数关系 b.商数关系 c.平方关系 三、诱导公式 四、基本公式 a.两角和差公式 b.三角和公式 c.积化和差公式 d.和差化积公式 e.倍角公式 f.半角公式 g.万能公式 h.辅助角公式 五、反三角函数三角函数公式包括和差角公式、和差化积公式、积化和差公式、倍角公式、诱导公式等。
本文重点:巧记和差化积、积化和差公式(很多小伙伴记了就忘,忘了又记)01 定义式
三角函数公式是数学中属于初等函数中的超越函数的一类函数公式。它们的本质是任意角的集合与一个比值的集合的变量之间的映射,通常的三角函数是在平面直角坐标系中定义的。

02 函数公式
倒数关系:



商数关系:


平方关系:



03 诱导公式
1.公式1:设α为任意角,终边相同的角的同一三角函数的值相等sin(2kπ+α)=sinα(k∈Z)sin( 2kπ +α)=sinα(k∈Z)
cos(2kπ+α)=cosα(k∈Z)cos(2kπ+α)=cosα(k∈Z)
tan(2kπ+α)=tanα(k∈Z) tan(2kπ+α)=tanα(k∈Z)
cot(2kπ+α)=cotα(k∈Z) cot(2kπ+α)=cotα(k∈Z)
2.公式二:设α为任意角,π+α的三角函数值与α的三角函数值之间的关系sin(π+α) = -sinα
cos(π+α)=-cosα
tan(π+α)= tanα
cot(π+α)=cotα
3.公式三:任意角α与-α的三角函数值之间的关系sin(-α)=-sinα
cos(-α)=cosα
tan(-α)=-tanα
cot(-α)=-cotα
4. 公式四:利用公式二和公式三可以得到π-α与α的三角函数值之间的关系sin(π-α)=sinα
cos(π-α)=-cosα
tan(π-α)=-tanα
cot(π-α)=-cotα
5、公式五:利用公式一和公式三可以得到2π-α与α的三角函数值之间的关系sin(2π-α)=-sinα
cos(2π-α)=cosα
tan(2π-α)=-tanα
cot(2π-α)=-cotα
6、公式六:π/2±α与α的三角函数值之间的关系sin(π/2+α)=cosα
sin(π/2-α)=cosα
cos(π/2+α)=-sinα
cos(π/2-α)=sinα
tan(π/2+α)=-cotα
tan(π/2-α)=cotα
cot(π/2+α)=-tanα
cot(π/2-α)=tanα
记背诀窍:奇变偶不变,符号看象限,即形如(2k+1)90°±α,则函数名称变为余名函 数,正弦变余弦,余弦变正弦,正切变余切,余切变正切。形如2k×90°±α,则函数名称不变。
04 基本公式:
4.1. 二角和差公式
口诀(正余弦两角和差公式):
赛壳壳赛符号同,壳壳赛赛符号异。
1)正弦和差前后同号,余弦和差前后异号
2)正弦和差公式始终是sin与cos相乘; 余弦和差公式始终是cos与cos相乘,sin与sin相乘
cos(α+β)=cosα·cosβ-sinα·sinβ
cos(α-β)=cosα·cosβ+sinα·sinβ
sin(α±β)=sinα·cosβ±cosα·sinβ
再说一下tan和差公式的记忆。
由下图可以看到,tan和差公式的右边分式,分子与分母符号是不同的,而左边与分子符号又是相同的。这样我们就能通过左边确定等式右边的符号。
再记住上加下乘,就能把tan的每一项记住了。

4.2三角和公式

注意!注意!注意!
人间大炮一级准备!!!
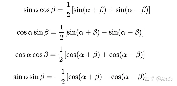
4.3 积化和差公式:
sinαcosβ=sin(α+β)+sin(α−β)2cosαsinβ=sin(α+β)−sin(α−β)2cosαcosβ=cos(α+β)+cos(α−β)2sinαsinβ=−cos(α+β)−cos(α−β)2{\displaystyle \sin \alpha \cos \beta ={\sin(\alpha +\beta )+\sin(\alpha -\beta ) \over 2}} \\ {\displaystyle \cos \alpha \sin \beta ={\sin(\alpha +\beta )-\sin(\alpha -\beta ) \over 2}} \\ {\displaystyle \cos \alpha \cos \beta ={\cos(\alpha +\beta )+\cos(\alpha -\beta ) \over 2}} \\ {\displaystyle \sin \alpha \sin \beta =-{\cos(\alpha +\beta )-\cos(\alpha -\beta ) \over 2}} \\
4.3.1 口诀法:
正余余正,正加正减;
余余正正,余加负余减。
d. 和差化积公式:
正加正,正在前;
正减正,余在前;
余加余,余并肩;
余减余,负正弦。
“两个口诀互逆,但推荐分别记忆,这样用起来会非常快!!
敲黑板,下面重点。人间大炮二级准备!!!


4.3.2 帅哥记忆法:

积化和差只需反过来说,即:
帅哥=帅+帅哥帅=帅-帅哥哥=哥+哥负嫂嫂=哥-哥
本人更喜欢第一种方法,直接记忆好记并且快。
4.4. 倍角公式:
◆ 二倍角公式

推论: 升幂缩角公式
降幂扩角公式
运用二倍角公式就是升幂,将公式Cos2α变形后可得到降幂公式。

◆ 三倍角公式





◆ 四倍角公式
sin4a=−4∗[cosa∗sina∗(2∗sina2−1)]sin4a=-4*[cosa*sina*(2*sina^2-1)]
cos4a=1+(−8∗cosa2+8∗cosa4) cos4a=1+(-8*cosa^2+8*cosa^4)
tan4a=(4∗tana−4∗tana3)/(1−6∗tana2+tana4) tan4a=(4*tana-4*tana^3)/(1-6*tana^2+tana^4)
◆ 五倍角公式



◆ 半角公式

(正负由 α/2\alpha/2 所在的象限决定)
4.5.万能公式

4.6辅助角公式

4.7. 余弦定理

4.8. 三角函数公式算面积
定理:

在△ABC中,其面积就应该是底边对应的高的1/2,不妨设AD边对应的高是BC,那么△ABC的面积就是BC*AD*1/2。而AD是垂直于BC的,这样△ADC就是直角三角形了,由此可以得出, AD=AD= ACsinCACsinC,将这个式子带回三角形的计算公式中就可以得到:S△ABC= 1/2absinC=1/2bcsinA=1/2acsinB1/2absinC=1/2bcsinA=1/2acsinB
同理,即可得出三角形的面积等于两邻边及其夹角正弦值的乘积的一半。
◆ 公式:
若△ABC中角A,B,C所对的三边是a,b,c:
则S△ABC= 1/2absinC=1/2bcsinA=1/2acsinB
4.9. 反三角函数
在数学中,反三角函数(偶尔也称为弧函数,反严密函数或圈度量函数)是三角函数的反函数(具有适当限制的域)。具体而言,它们是正弦、余弦、正切、余切、正割和余割的逆函数,并用于从任何角度的三角比获得角度。
反三角函数主要是三个:
y=arcsin(x),定义域[-1,1] ,值域[-π/2,π/2]
y=arccos(x) ,定义域[-1,1] , 值域[0,π]
y=arctan(x) ,定义域(-∞,+∞),值域(-π/2,π/2)
sinarcsin(x)=x, 定义域[-1,1],值域 【-π/2,π/2】
4.10反三角函数公式:
余角关系

负数关系

倒数关系

同角关系

另外
sin(arcsinx)=x=cos(arccosx)=tan(arctanx)=cot(arccotx)
当 x∈〔—π/2,π/2〕时,有arcsin(sinx)=x
x∈〔0,π〕,arccos(cosx)=x
x∈(—π/2,π/2),arctan(tanx)=x
x∈(0,π),arccot(cotx)=x
x〉0,arctanx=π/2-arctan1/x,arccotx类似
若 (arctanx+arctany)∈(—π/2,π/2),
则arctanx+arctany=arctan(x+y/1-xy)
结语:如有发现错误,敬请指摘!可能是不小心打错的,毕竟公式这么多(我真会给我自己找台阶下)
感谢每一个认真阅读,并反馈所发现的错误的人,正是由于你们的存在,这篇文章才更完美。
也为文章中错误给读者带来的不便表示抱歉。
如果觉得本文对你有帮助,请点赞收藏,以便你能第一时间找到~~~
免责声明:文章内容来自互联网,本站仅提供信息存储空间服务,真实性请自行鉴别,本站不承担任何责任,如有侵权等情况,请与本站联系删除。