三角函数公式总是记不住,每次用都要去看书,这可不行。很多时候,记忆公式只要找到规律,剩下的稍加记忆,多看几次,多做题目就可以记住了,最好是可以自行推导加深印象。
蜂考认为掌握三角函数的本质及规律会发现各个公式之间强大的联系,这也是学好三角函数的关键所在。
宝藏课程1元秒杀,只讲能抢分的技巧→
积化和差

积化和差得和差,余弦在后要相加;异名函数正弦,正弦相乘取负号。
最简单的记忆方法是通过三角函数的值域来判断。sin和cos的值域都是[-1,1],其和差的值域应该 是[-2,2],而积的值域却是[-1,1],因此除以2是必须的。
也可以通过其证明来记忆,因为展开两角和差公式后,未抵消的两项相同而造成有系数2,如:
cos(α-β)-cos(α+β)
=(cosαcosβ+sinαsinβ)-(cosαcosβ-sinαsinβ)
=2sinαsinβ
故最后需要除以2。
歌诀记忆公式,例如:
口口之和仍口口,赛赛之和赛口留,口口之差负赛赛,赛赛之差口赛收。
或者:正余余正,正加正减,余余正正,余加负余减。
和差化积

口诀:正加正,正在前;正减正,余在前;余加余,余并肩;余减余,负正弦。
同角三角函数基本关系
倒数关系:
tanx ·cotx=1
sinx ·cscx=1
cosx ·secx=1
商的关系:
sinx/cosx=tanx=secx/cscx
cosx/sinx=cotx=cscx/secx
平方关系:
sin²x+cos²x=1
tan²x+1=sec²x
cot²x+1=csc²x

同角三角函数关系六角形记忆法,构造以“上弦、中切、下割;左正、右余、中间1”的正六边形模型。
对角线倒数:指在三角函数六边形中,对角线上两个函数互为倒数,即tanx ·cotx=1,sinx ·cscx=1,cosx ·secx=1
倒三角平方和:每个有阴影的三角形下顶处函数的平方等于上面两个顶处函数平方的和。即sin²x+cos²x=1,tan²x+1=sec²x,cot²x+1=csc²x
邻点积:任何一个顶处的函数等于相邻两个顶处函数的乘积。即sinx=tanx ·cosx,cosx=sinx ·cotx,cotx=cosx·cscx,cscx=cotx·secx,secx=cscx ·tanx,tanx=secx·sinx
图中左面+号表示六边形左面三个顶角处函数的导数为正值,右面-号表示右面三个顶角处的导数为复值。
三角函数求导数:
上互换:指在三角函数求导六边形中,上顶角处函数的导数为另一上顶角处函数的导数。即:(sinx)=cosx,(cosx)=-sinx
中下2:中间顶角处函数的导数为对应边下顶角处函数导数的平方,即(tanx)=secx²,(cotx)=-csc²x
下中下:下顶角处函数的导数为对应边中间顶角处函数的导数与下顶角处函数的导数之乘积。即(secx)=tanx ·secx,(cscx)=-cotx·cscx
三角函数求积分
积分是导数的逆运算,所以积分记忆口诀:上互换,下2中,中下下
诱导公式:

三角函数诱导公式,就是将n·(π/2)±a的三角函数转化为a的三角函数。
口诀:奇变偶不变,符号看象限
对于kπ/2±α(k∈Z)的三角函数值,
①当k是偶数时,得到α的同名函数值,即函数名不改变;
②当k是奇数时,得到α相应的余函数值,即sin→cos;cos→sin;tan→cot,cot→tan.(奇变偶不变)然后在前面加上把α看成锐角时原函数值的符号。(符号看象限)
各种三角函数在四个象限的符号如何判断,也可以记住口诀:“一全正;二正弦(余割);三两切;四余弦(正割)”。
第一象限内任何一个角的四种三角函数值都是“+”
第二象限内只有正弦是“+”,其余全部是“-”
第三象限内切函数是“+”,弦函数是“-”
第四象限内只有余弦是“+”,其余全部是“-”
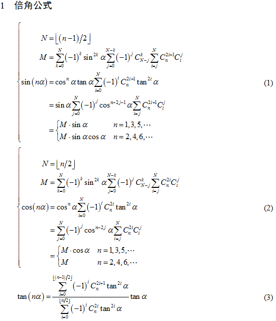
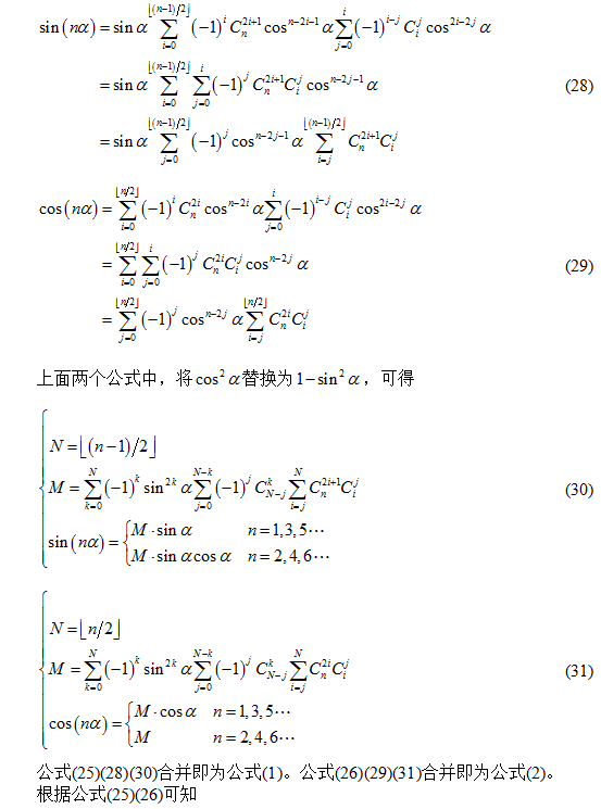
倍角公式






万能公式


万能公式记忆口诀:
1)正弦:1加切方除切倍。要注意‘除’的含义。
2) 余弦:阴阳相比是余弦。解释: 化学中‘阴’指‘-’‘阳’指‘+’
3)正切:用正余弦之比即可
相关问题回答

整理不易,大家收藏前,先帮
免责声明:文章内容来自互联网,本站仅提供信息存储空间服务,真实性请自行鉴别,本站不承担任何责任,如有侵权等情况,请与本站联系删除。