大家好!本文和大家分享一道2004年高考全国III卷理科数学压轴题。2004年高考全国卷共有4套试卷,其中当年使用3卷的省份为内蒙古、海南、西藏、陕西、广西等,与当前使用3卷的省份并不相同。接下来我们一起来看一下这道压轴题。

题目见上图。本题考查的是数列的通项公式及放缩法,难度还是比较大,也难住了不少的同学。
先看第一问。这一问比较简单,题目已经告诉了数列前n项和与an的关系,要求a1、a2、a3只需要取不同的n的值即可。如当n=1时,S1=a1,代入后即可求出a1的值;当n=2时,S2=a1+a2,代入题干中的关系式,可求出a2的值。

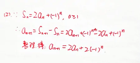
再看第二问,求数列的通项公式。
已知数列前n项和Sn与an的关系,那么可以利用an=Sn-S(n-1)的关系消去Sn,这样就得到了数列相邻两项之间的关系。如本题中消去Sn后得到:a(n+1)=2an+(-1)^n。

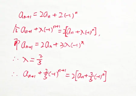
得到数列相邻两项的关系后,先观察两项的系数,系数不同时常构造新的等比数列。
令a(n+1)+(-1)^(n+1)=2[an+(-1)^n],化简后得到:a(n+1)=2an+3(-1)^n。接着与前面的式子比较,即可得到的值,再将代入设出的式子,即可得到一个新的等比数列。当然,这个过程可以不写入解题过程中,只用结论就可以。
另外,在构造新数列时,要注意等号前后形式保持一致。

构造出新的等比数列后,利用等比数列通项公式求出新数列的通项公式,从而进一步求出数列an的通项公式。
需要注意的是,在解题过程中如果出现了n-1这样的形式,那么就要有n2的限制条件,这也是很多同学容易忘记的一点。为了避免出现这样的情况,可以用a(n+1)和an之间的关系,此时就不需要有n2的限制条件了。

最后看第三问,考查放缩法。
这一问难度大,合适的放缩是难点所在。先将an的通项公式代入表示出所要求的代数式,然后先化简,再放缩。
化简后得到的是m-3个分数和的形式,结合题目中“<”的结论,也就是说可以将分数的分母缩小,从而让分数的值变大,所以可以考虑将分母中的11放缩为10、21放缩为20等,这样就可以构成一个等比数列,然后用等比数列求和公式求和。
求和后再进行放缩,即进行适当的放大,从而得到题目中的数值。

放缩法对很多同学来说都是一个难点,关键在于很难找到合适的放缩程度,容易出现过度放缩或放缩不到位的情况,所以很多同学遇到放缩法都丢了分。不过,现在全国卷考查放缩法的题并不多,这对不少同学来说都是个好消息。当然,对于学有余力的同学来说,放缩法还是必须要掌握的。
免责声明:文章内容来自互联网,本站仅提供信息存储空间服务,真实性请自行鉴别,本站不承担任何责任,如有侵权等情况,请与本站联系删除。