更新:2016年的进展见
之前那个疑似戴森球的消息现在怎么样了? – 知乎用户的回答
起因是这样的:9月11日,美国耶鲁大学的Tabetha Boyajian等人在著名的论文预印本网站 arxiv 上张贴了一篇文章,讨论了开普勒望远镜观测的一颗亮度为12等的目标星 KIC 8462852。开普勒望远镜是用“凌星”法找太阳系外行星的,即行星如果恰好在恒星圆面前方经过,挡住了一部分光线,恒星的亮度就会有轻微下降。通过测量光变曲线的形状,可以确定行星的轨道周期、到主星的距离、半径等信息。通常的凌星行星光变曲线是下面这样的,注意它的外形十分光滑、圆润,并且中心对称:

上:系外行星 WASP-10 b 的光变曲线,横轴是时间,纵轴是恒星的亮度。取自 Murray, 2012, Science, 336, 1121
但是 KIC 8462852的光变曲线中不存在传统意义上的凌星信号,因此开普勒望远镜的自动化分析软件把它漏掉了,但在“行星猎手”(Planet Hunters)网站上引起了很多人的兴趣。Planet Hunters 是一个公众平台,它集合了大众的力量,让志愿者用眼睛帮助识别凌星信号。因为开普勒望远镜在3年多时间里累积了20多万颗星的光变曲线,任何软件也不能保证有100%的探测率,人眼+人脑在识别特定模式方面的巨大能力就可以派上用场了。这个平台是开放,任何人都可以注册帐号,然后开始寻找这些“漏网”的行星。2012 年,科学家上传了开普勒望远镜的部分数据做了个测试,发现效果还不错——对于半径大于地球 4 倍的行星,人眼识别的成功率超过了 85%。自从 Planet Hunters 网站上线以来,志愿者总共已经发现了几十颗行星候选体,其中至少两颗已经得到确认,并被赋予了“开普勒”开头的正式行星编号(Kepler-64 b 和 Kepler-86 b)。
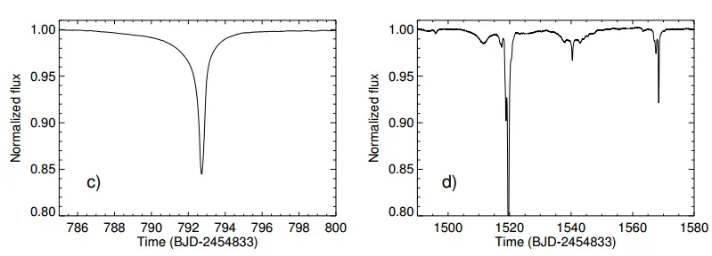
我们回到这颗名为 KIC 8462852 的星上来。在 Planet Hunters 项目里,志愿者给它打上的标签是”奇特”、“有趣”、“巨大的凌星”这样的字眼,引起了耶鲁大学的天文学家Boyajian的兴趣,于是进行了深入分析。首先Boyajian发现,这颗星的光变曲线里面存在两次大的下降,一次在第790天左右,变暗了15%,在第 1520天左右,光变曲线又下降了22%。在第二次下降前后还伴有很多次幅度比较小的下降。如图:

纵轴表示恒星的亮度(“正常”情况下的亮度为1),横轴是时间,单位是天。
看不清楚?把纵轴放大一些看看:

截取其中两次比较大的下降:

作者小心的分析了仪器出错的可能性,认为观测误差无法解释这个现象,因此必须考虑其背后可能存在的物理机制。
通常情况下首先都会考虑环绕在恒星周围的一大团尘埃云或者尘埃盘,比如著名的御夫座的 ε Aur(中文名柱一):


尘埃盘遮挡恒星的观测(上)和想象图(下)。取自 维基百科
如果 KIC 8462852 的亮度下降是尘埃遮挡引起的,由于尘埃粒子的温度比较低,恒星必定在红外波段比正常情况下稍微亮一些,这种现象称为“红外超”,通常用来检验恒星周围是否存在尘埃盘。可是这颗星并不存在红外超,这就显得有点蹊跷了。经过仔细的分析,Boyajian 认为,目前还没有哪种理论能够很好的解释这颗星光变曲线。看起来稍微符合一点的是彗星。原因有三条:
第一次变暗,光变曲线前后是不对称的,这和彗尾的特点相符,但正常的彗尾造成的曲线是先迅速下降,再缓慢上升,正好与观测相反。解释只有一个,那就是彗星的尾巴是朝前的。其实太阳系里也发现过彗星的尾巴是向前的,所以这一点勉强说得过去。
在第二次变暗里,亮度有一次比较大的下降和许多比较小的下降,看上去像是一颗高偏心率轨道上的彗星,在经过主星附近时,彗核在潮汐作用下发生了分裂。
这颗星不远的地方发现了另一颗比较暗的星,目前还不清楚二者是否是一对双星,还是只是视线方向比较接近而已。如果是双星,那么伴星的距离大约是 880 天文单位,相当于冥王星到太阳的 20 多倍,这样的距离足以扰动恒星周围的“奥尔特云”,形成大量高轨道偏心率的彗星。
但是不能不吐槽的一点是,最大掩食深度高达 22%,也就是说彗星的直径差不多有恒星的一半大,人类还从没有见到过这么巨无霸的彗星,所以这种解释其实也比较牵强。
这篇文章在9月12日发布以后,天文学家说:“好吧,又一个疑似的系外彗星”,但并没有引起新闻媒体的重视,也还没与“外星生命”扯上多大的关系。
=============戏剧性的转折================
大约一个月以后,也就是 10 月15日,美国宾西法尼亚州立大学的Jason Wright等人在 arxiv 上贴出了另一篇文章,讨论了外星文明建造的一些巨型建筑在“凌星”中可能造成的观测效应,正是这篇文章迅速引爆了各大媒体。
文章中阐述的想法本身并不新鲜,早在1960年代戴森就提出:一个高度进化的文明必然会想办法获取尽可能多的能源。行星系统中最大的能源就是恒星释放的能量。外星文明可能会建造巨大的类似“太阳能板”的装置来收集这些能量,它们的表面积可以大到几乎覆盖整颗恒星,称为“戴森球”。收集到的能量经过利用后变成热量排出,会产生大量的中红外辐射。所以,戴森球对恒星的遮挡,以及中红外的多余辐射都可以在远处被观测到,因此是一种可行的搜寻外星文明的方法。
2005年,法国天文学家Arnold考虑到,当外星文明发展到一定程度后,可能会建造尺寸和行星大小相当的巨型建筑,戴森球就是其中一种。这些建筑物可能很薄,因此质量很小,但是具有巨大的表面积,形状包括三角形、百叶窗形等。其中百叶窗形有个突出的优点:只要改变扇叶的角度,就可以方便地调节接收面积,从而控制能量收集器的输出功率。这些形状怪异的建筑也会像行星一样“凌星”,但是光变曲线的形状和圆形的行星不同。Arnold进一步提出:可以通过凌星曲线的形状异常来寻找这些巨型建筑。而开普勒望远镜已经达到了搜寻这类建筑所需要的精度。


上图:不同形状的建筑产生的凌星曲线与行星曲线的差异。左上:三角形。右上:旋转的三角形。左下和右下代表两扇叶片和六扇叶片的百叶窗形。取自 Arnold, 2005, ApJ, 627, 534
在接下来的章节里,Wright 详细讨论了 6 种可能的外星建筑形式,以及它们可能产生的10种不同于行星的光变曲线反常,同时还对每一种反常都考虑了可能由哪种自然现象产生。换句话说,如果真的找到了某种反常,就需要在相应的建筑形式与自然现象之间进行甄别。这 10 种反常是:

翻译过来就是:
1. 凌星曲线的下降段和上升段形状异常
对应的人造物体:建筑物不是圆盘形或者导致恒星不是球形
对应的自然现象:系外卫星、环、行星自转、恒星盘面的重力昏暗和邻边昏暗效应、行星的蒸发、恒星盘面边缘的黑子
2. 凌星曲线的相位异常
对应的人造物体:非球形的建筑物
对应的自然现象:行星上的云、全球环流、行星的天气、恒星辐射的变化
3. 凌星曲线底部的形状异常
对应的人造物体:形状或运动方向随时间变化
对应的自然现象:恒星的重力昏暗和邻边昏暗效应、行星的扁率不为0、黑子、系外卫星、盘
4. 凌星的深度发生变化
对应的人造物体:形状或运动方向随时间变化
对应的自然现象:行星的蒸发、轨道进动、系外卫星
5. 凌星的时间间隔或持续时间发生变化
对应的人造物体:非引力驱动下的加速、共轨天体
对应的自然现象:行星之间的相互散射、轨道进动、系外卫星
6. 由凌星曲线得到的恒星密度与其他手段得到的不符
对应的人造物体:非引力驱动下的加速、共轨天体
对应的自然现象:高轨道偏心率的行星、行星周围的环、来自其他恒星的混杂、黑子、行星之间的散射、非常大质量的行星
7. 凌星曲线具有非周期性
对应的人造物体:一大群人造物体
对应的自然现象:非常大的环、大的碎片群、团块、翘曲或进动的盘
8. 恒星光线消失不见
对应的人造物体:完全遮挡
对应的自然现象:团块、翘曲或进动的盘、环绕双星的盘
9. 凌星曲线的形状不依赖于观测波段
对应的人造物体:人造几何吸收体
对应的自然现象:云、行星大气的标高比较小、来自其他恒星的光线混杂、恒星盘面的邻边昏暗效应
10. 凌星天体的质量很小,与巨大的体积不相称
对应的人造物体:很薄的人造物体
对应的自然现象:巨大的碎片群、来自其他恒星的光线混杂。
紧接着,Wright 又举出了两颗已经观测到反常的行星系统:CoRoT-29 b 和 KIC 12557548b。前者的凌星曲线用现有的知识都解释不了,后者的光变曲线不仅不对称,而且每次变暗的幅度从 1.3% 到 0.2% 之间无规律变化。贴个图你们体会下:

上图:CoRoT-29b 的光变曲线。取自 Cabrera et al., 2015, A&A, 579, 36


上图:把 KIC 12557548 b 的很多次光变曲线折叠在一起的样子。可以清楚的看到前后不对称,上升段更加“平缓”一些。取自 http://arxiv.org/abs/1510.04606v1
对照前面的表格,热衷于寻找地外智慧生命(SETI)的人们有理由对这两颗行星抱以足够的期待。可惜的是,进一步的观测表明这两个天体都像是自然现象。对于 CoRoT-29b,已经探测到了它对主星的引力扰动,是一颗质量为木星 0.85 倍的巨行星,而非人造物体,因为人造物体不会有这么大的质量。而后者—— KIC 12557548 b 是一颗正在瓦解中的行星,它距离主星很近,公转一圈只需要16个小时,在潮汐作用下已经损失了自身质量的 70%,蒸发的物质在身后形成了一条长长的尾巴,与彗星类似。天文学家甚至测量到构成这条“尾巴”的颗粒直径大约在 0.1-1 微米之间。
就在这篇文章写作的过程中,Boyajian 公布了KIC 8462852,因此 Wright 专门为它开辟了一个章节。对照上面的表格,不难发现 KIC 8462852的光变曲线同时具备了第 1、2、3、4、5、7 条反常特征,包括多个不同大小的遮挡物、有一些形状重复出现但是没有周期性的遮挡事件;以及重叠和不对称性,暗示这些遮挡物的轨道不符合开普勒运动定律,即在引力之外还可能受到其他推动力的作用。特别值得注意的是,在横轴 X=1540 天处的凌星事件和 X=1206 天处的事件形状几乎一模一样,只是幅度上放大了 10 倍。对照表里的最后一列,我们可以发现没有哪种单一的自然现象能够解释所有这些光变异常。作者 Wright 评论到:考虑到种种因素,目前看来这颗星是搜寻地外智慧生命计划最有希望的目标。
“Given this object’s qualitative uniqueness, … … we feel is the most promising stellar SETI target discovered to date.”
上图:KIC 8462852 的光变曲线的几个局部。注意这些图的纵轴比例是不同的。取自 http://arxiv.org/abs/1510.04606v1
Boyajian 在他们的论文中提到,他们还编写了个简单的程序,从开普勒数据库中寻找是否还有类似的星,结果找到了 1000 颗左右,但是经过肉眼筛查,发现绝大多数是由于食双星、恒星黑子、自转、或者仪器误差引起的。可以说KIC 8462852表现出的古怪变暗现象在整个开普勒望远镜的数据库中只发现了一例。如果 X=790 天和 X=1520 天的两次事件是同一个物体所为,那么可以推断它的轨道周期是 800 天左右,上一次发生在 2015 年 4 月。可惜当时开普勒望远镜已经转向别的方向,而其它望远镜也错过了这个重要的时间窗口。下一次将发生在 2017 年 5 月,预计届时会有相当数量的望远镜从各个波段对它进行更详细的分析。
10月21日更新:许多知友在评论里问 KIC 8462852 的距离。这颗星的距离不难测,恒星的颜色表明是一颗光谱型 F3V 的主序星。F3V 型星的绝对星等是 3.08。这颗星的视星等是 11.7,再结合星际消光就可以得到距离是 454 pc(大约 1480光年)。
P.S. 太阳周围 1480光年的距离内保守估计有 5000万颗恒星。
下一步可能的观测方向:
继续对 KIC 8462852 进行高精度的观测。在没有确定轨道周期以前,类似 X=790和 1520 这样的大的遮掩随时可能出现。此外还要辨别当中夹杂的小型遮掩,寻找规律和固定的模式。
多波段观测。比较不同波段的掩食曲线深度,相当于为凌星物体拍摄了光谱。彗星、行星、一大团气体和尘埃的光谱都是不一样的。比如“干净”的行星大气可能会探测到钠原子和瑞利散射,而人造建筑是固体,光谱比较“平”,在整个可见光内掩食深度都一致。不过上面已经提到了不太可能是行星或尘埃盘。因为行星的体积不会这么大,又没有观测到尘埃盘的“红外超”,所以可以基本排除了。
用视向速度测量遮掩物的质量。行星的质量比较大,而彗星、尘埃团、人造物的质量比较小。另外从视向速度上或许可以知道究竟有几个遮掩物。小结一下:
KIC 8462852 的光变无法用现有理论解释,起初一群天文学家以为是彗星造成的,没有引起记者的兴趣,后来另一群天文学家认真而严肃的讨论了地外文明建造的巨型建筑的可能性,并把它列为迄今为止搜寻外星文明项目最有希望的目标。于是才有了这则新闻。
说 NASA 又找理由骗钱的可以歇一歇了,两篇文章的作者都不是 NASA 员工,只是利用了 NASA 公开的开普勒望远镜的数据阐述了自己的观点,不代表 NASA 的立场,更不代表某个国家的立场。反过来得益于开普勒望远镜的高精度,很多以前想都不敢想的话题现在变得不那么遥远。开普勒望远镜绝对可以跟哈勃望远镜比肩,在史书上留下一笔。
很多媒体炒作发现了外星生命,或者“戴森球”,明显属于联想过度,因为还没有确切的证据,自然现象还也没有被排除。人们对一个天体的了解程度,很大程度上取决于投入了多少观测。现在KIC 8462852累积的观测资料还远远不足以甄别到底是自然现象还是外星建筑。任何人都可以做出自己的判断。但是相信已经有足够的理由动用更多先进的设备对这颗星KIC 8462852做进一步的观测。
如果没有 Planet hunters 项目里志愿者的努力,恐怕这颗星至今还埋在开普勒望远镜产生的数据海洋中。Boyajian论文中的第二作者 D.M.LaCourse 就是那位标记 KIC 8462852 的志愿者。专业天文学家的设备使用时间都是排的满满的,考虑到这颗星并不是太暗(12等)、光变幅度达到五分之一,部分天文爱好者手里的设备完全有能力对这颗星进行后续观测。9月当这颗星刚公布时,笔者曾经在国内的一个天文爱好者论坛上号召过,现在这个目标的科学意义又进一步增加了。有没有爱好者付诸实际行动呢?笔者愿提供力所能及的帮助。
最后,本文从原始论文的角度针对新闻报道做了一个解读,不代表笔者赞同论文中的观点。
+++++++2015 年 11 月 5 日更新++++++++
SETI 研究所用阿伦射电望远镜阵列对这颗星进行了监听,没有发现无线电信号。
http://arxiv.org/abs/1511.01606监听时间:2015 年 10 月 15-30日,为期 15 天,每天 12 小时。共计 180 个小时
监听范围:1 ~ 10 GHz
结果:没有发现流量大于 180-300 Jy 的窄带(1Hz)无线电信号,也没有发现流量大于 100 Jy 的宽带(100kHz)的无线电信号。
+++++++2015 年 11 月 11 日更新++++++++
解释一下:上面的无线电监听表示什么意思呢?Jy 是央斯基,是无线电中常用的一种表示功率密度的单位。作为对比,在 10 GHz 的频率上地球接收到的太阳的无线电辐射是 400万央斯基。
考虑到这颗星的距离高达 1480 光年,如果信号是朝四面八方各向同性发射的,没有找到大于 180-300 Jy 的窄带信号表明没有探测到这颗恒星周围功率大于4\sim7 \times 10^{15} 瓦特的发射源;没有找到大于 100 Jy 的宽带信号表明没有探测到大于 10^{20}瓦特的发射源。
作为对比,地球上最大的射电望远镜 ——Arecibo 射电望远镜的等效各向同性发射功率大约是 2\times 10^{13}瓦——比阿伦射电望远镜的探测极限低了两个数量级。而人类的总能源消耗量差不多也是这个量级——10^{13}瓦。
所以,这个结果相当于是说:没有探测到相当于人类目前总功率 100 倍的无线电源。看上去这似乎是个很大的功率,但是考虑到:
1. 如果不是朝着四面八方的发射源,而是一个无线电射束,只在某一个方向上具有很强的流量(比如星际通讯或者宇宙飞船发动机的尾焰),实际需要消耗的能量会远小于这个数字。
2. 人家可能是一个已经学会建造戴森球、提取恒星级能量的文明,“他们”掌握的能量达到 10^{27}瓦的量级,区区 10^{15}瓦不过是九牛之一毛,实在算不了什么。
我们下面就来谈谈具有极强方向性的射束。如果把各向同性的无线电辐射比喻为发光的灯泡,那么无线电“射束”就好比一束探照灯,可以在很窄的方向上集中巨大的能量。
知名博客 Centauri Dreams 刊登了对等离子物理学家 James Benford 以及他的儿子、同时也是下一代红外巡天望远镜 WFIRST 的科学家 Dominic Benford 的
访谈。父子二人解释了阿伦望远镜给出的“阈值”的含义,讨论了几种超级文明可能建造的具有高度方向性的无线电“射束”:
1. 飞行器的轨道提升(例如从低轨道提升到高轨道)。消耗的能量相对较少,在阿伦望远镜的“阈值”以下,如果有也无法探测到。
2. 从一颗行星的表面向空间发射飞行器。如果存在这样的辐射源且恰好指向地球,那么是可以被阿伦望远镜在宽带监听模式中探测到的。
3. 被“风帆”驱动的行星际飞行,即在飞船上架设巨大的风帆,用辐射源照射这面风帆使飞船获得动力,使其在恒星周围不同的行星之间飞行。这样的辐射源如果恰好指向地球,那么阿伦望远镜在宽带和窄带模式中都能够探测到它。
4. 星际飞船,同样的原理,只不过是从一颗恒星周围飞行到另一颗恒星周围。这样的辐射源如果恰好指向地球,那么阿伦望远镜在宽带模式下能够探测到它——同时也就意味着这个文明已经向我们地球的方向派遣了飞船…… 答主写到这里忽然出了一身汗。。>_<
此外需要说明的是:具有高度方向性的无线电“束”不太可能一直朝着同一个方向,只有当它扫过地球的方向时我们的射电望远镜才能观测到它。而阿伦望远镜对颗星的监听时间太短,明显不足以发现这样的源。并且,阿伦望远镜即便是宽带模式下扫描的带宽还是不够“宽”,频率也不在合适的范围内。如果人类将来建造以上几种飞行器,无线电射束的带宽要比阿伦望远镜的监听范围大好几个数量级,而且最有可能使用毫米波,而不是阿伦望远镜扫描的微波。
因此综上所述,阿伦望远镜还不足以对外星文明可能建造的无线电射束给出任何确切的结论。
免责声明:文章内容来自互联网,版权归原作者所有,本站仅提供信息存储空间服务,真实性请自行鉴别,本站不承担任何责任,如有侵权等情况,请与本站联系删除。
转载请注明出处:可能发现了一个戴森球是怎么回事? https://www.7ca.cn/zsbk/zt/21090.html