电解电容的特点及其使用的注意事项-电解电容基础知识考试及答案

什么是电解电容

电解电容是电容的一种。

金属箔为正极(铝或钽),与正极紧贴金属的氧化膜(氧化铝或五氧化二钽)是电介质,

阴极由导电材料、电解质(电解质可以是液体或固体)和其他材料共同组成,

因电解质是阴极的主要部分,电解电容因此而得名。

电解电容的特点及其使用的注意事项-电解电容基础知识考试及答案

铝电解电容

电解电容的特点

有极性之分,分为正、负两极

接反可以导致损坏甚至炸裂(记得在大学实验课上,某同学将正、负极接反,电解电容爆炸,碎片甚至将天花板炸出一个小洞)

对加在两端的电压的纹波有要求

纹波电流会影响电解电容的带载温升,如果电流的纹波成分过大,超过了电容的最大容许纹波电流,会导致电容烧毁

体积大、串联等效电阻(ESR)大、寄生电感大、对温度敏感、

适用于温度不高且变化不大,工作电压频率不高(<25kHz)的场合

电解电容的特点及其使用的注意事项-电解电容基础知识考试及答案

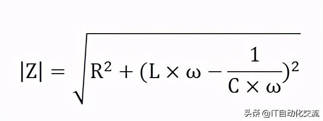
电解电容等效模型

如上电解电容的等效模式,

R为串联等效电阻,L为等效电感,C为电解电容容值。

对于角频率为ω的信号,其阻抗Z为R+L*j*ω+1/(C*j*ω)。

其幅度为,

电解电容的特点及其使用的注意事项-电解电容基础知识考试及答案

阻抗幅度

当L*ω=1/(C*ω)时,其阻抗的幅度最小,对应的信号频率为

电解电容的特点及其使用的注意事项-电解电容基础知识考试及答案

电容谐振频率

该频率被称为电容的谐振频率;

当把电解电容应用于电路中时,希望其阻抗随着频率的增加而降低。

但是,由于等效电感的存在,

使得当信号的频率高于谐振频率时,电容不再呈现容性,而呈现感性,而且随着频率的增加,阻抗也增加。

电解电容的特点及其使用的注意事项-电解电容基础知识考试及答案

频率与阻抗关系

由于电解电容存在比较大的等效电阻和等效电感,使得其谐振频率较低,只能滤除频率很低的信号,而不能滤除高频信号。

使用要点

1.电解电容需要远离发热器件放置,如果整个板子都是热源,则应慎选电解电容;

电解电容里面是电解液,温度过高会导致电解液干枯,从而容量减小或失效。

电解电容的寿命随温度的升高而缩短,最明显的是电解电容器。

一般情况下,工作温度每增加5~10℃,则电容的使用寿命减少一半。

一个极限工作温度为85℃的电解电容,在温度为25℃的环境下工作时,至少可以保证12000小时的正常工作时间;

而在极限温度85℃的环境下工作时,仅仅可以保证2000小时的正常工作时间。

如果板子的工作温度比较高,宜选用极限工作温度为105℃/125℃的电解电容。

2.尽量减小施加在电解电容中的纹波电压

我们知道,电容具有通交流阻直流的作用,交流纹波电流会流过电容形成回路,流过的电流因为电容的等效电阻而发热、温度上升影响寿命。

因此,应该尽量减小纹波电流大小。

在设计时,应该考虑纹波电流导致的电容温升,需要通过相关试验做验证。

3.电容两端的电压不应该超过其额定耐压值

电容额定耐压值>直流电压+纹波电压的峰值

而且需要对电容耐压值做降额设计,电容额定耐压值应该为直流电压与纹波电压峰值之和的1.2-1.5倍;

比如,对于用于24V直流电源的滤波的电解电容,如果其纹波幅度为50mV。考虑24V电源的最高电压可能到26V,电解电容的耐压值需要为(26V+50mV)*(1.2~1.5)=31V~39V,可选择耐压值为35V的电解电容;

4.电解电容串联使用以满足耐压要求时,需要在电解电容两端并联相同阻值的电阻,使得各串联电容分得的电压相同。

电解电容的特点及其使用的注意事项-电解电容基础知识考试及答案

电容串联

5.电解电容下面严禁走线,防止电解液腐蚀走线,甚至生烟或者起火。

6.需要快速充放电的场合禁止使用电解电容;

免责声明:文章内容来自互联网,版权归原作者所有,本站仅提供信息存储空间服务,真实性请自行鉴别,本站不承担任何责任,如有侵权等情况,请与本站联系删除。
转载请注明出处:电解电容的特点及其使用的注意事项-电解电容基础知识考试及答案 https://www.7ca.cn/zsbk/zt/7633.html

电路知识-电解电容-电解电容有什么作用
上一篇 2024年3月28日 13:05:20
什么是高频电解电容,它有普通电解电容有什么区别?-电解电容的高频特性
下一篇 2024年3月28日 13:38:59

联系我们

在线咨询: QQ交谈

邮件:362039258#qq.com(把#换成@)

工作时间:周一至周五,10:30-16:30,节假日休息。