1、什么是巴特沃斯滤波器?
巴特沃斯(Butterworth)滤波器是是电子滤波器的一种,一种具有最大平坦幅度响应低通滤波器,它在通信领域里已有广泛应用,在电测中也具有广泛的用途,可以作检测信号的滤波器。文献[张殿龙 王福文.巴特沃斯低通滤波器在电动机测试中的应用[J]成功地将巴特沃斯低通滤波器应用于电动机测试中。 补充一下通带频率和阻带频率的概念,能够通过滤波器的频率信号范围构成通带(pass-bands),而被衰减的频率信号则不能在输出端输出,这些被衰减的频率范围构成了滤波器的阻带(stop-bands)。通带与阻带交界点的频率称为截止频率。理想的滤波器其频率响应于通带区没有插入损耗(insertion-loss),而于阻带则有无限大衰减以阻绝讯号通过。然而实际电路无法同时满足上述要求,故在设计电路时应选择适当滤波器种类以符合所需的规格。
这种滤波器最先由英国工程师斯蒂芬·巴特沃斯(Stephen Butterworth)在1930年发表在英国《无线电工程》期刊的一篇论文中提出的。
2、滤波器的特点
巴特沃斯滤波器的特点是通频带内的频率响应曲线最大限度平坦,没有起伏,而在阻频带则逐渐下降为零。在振幅的对数对角频率的波特图上,从某一边界角频率开始,振幅随着角频率的增加而逐步减少,趋向负无穷大。
一阶巴特沃斯滤波器的衰减率为每倍频6分贝,每十倍频20分贝。二阶巴特沃斯滤波器的衰减率为每倍频12分贝、三阶巴特沃斯滤波器的衰减率为每倍频18分贝、如此类推。巴特沃斯滤波器的振幅对角频率单调下降,并且也是唯一的无论阶数,振幅对角频率曲线都保持同样的形状的滤波器。只不过滤波器阶数越高,在阻频带振幅衰减速度越快。其他滤波器高阶的振幅对角频率图和低级数的振幅对角频率有不同的形状。

图1展示了不同阶的幅频特性。可见阶数n越高,其幅频特性越好,低频检测信号保真度越高。
巴特沃斯与贝塞尔(Bessel)、切比雪夫(Chebyshev)滤波器的幅频特性、相位特性如图2、图3所示。


从图2、图3可以看出,巴特沃斯滤波器在线性相位、衰减斜率和加载特性三个方面具有特性均衡的优点,因此在实际使用中已被列为首选。
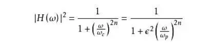
3、传递函数
巴特沃斯低通滤波器可用如下振幅的平方对频率的公式表示:

其中,n=滤波器的阶数
wc=截止频率=振幅下降为-3分贝时的频率
wp=通频带边缘频率4、巴特沃斯、切比雪夫、贝塞尔滤波器的区别

巴特沃斯滤波器、切比雪夫滤波器、贝塞尔滤波器均包括模拟滤波器和数字滤波器两种形式。
数字滤波器是指完成信号滤波处理功能的,用有限精度算法实现的离散时间线性非时变系统,其输入是一组数字量,其输出是经过变换的另一组数字量。因此,它本身即可以是用数字硬件装配成的一台完成给定运算的专用数字计算机,也可以是将所需运算编成程序,让通用计算机来执行。数字滤波器具有稳定性高、精度高、灵活性大等优点。随着数字技术的发展,用数字技术实现滤波器的功能越来越受到人们的注意和广泛的应用。
巴特沃斯滤波器的特点是通频带内的频率响应曲线最大限度平坦,没有起伏,而在阻频带则逐渐下降为零。 在振幅的对数对角频率的波特图上,从某一边界角频率开始,振幅随着角频率的增加而逐步减少,趋向负无穷大。巴特沃斯滤波器的频率特性曲线,无论在通带内还是阻带内都是频率的单调函数。因此,当通带的边界处满足指标要求时,通带内肯定会有裕量。所以,更有效的设计方法应该是将精确度均匀的分布在整个通带或阻带内,或者同时分布在两者之内。这样就可用较低阶数的系统满足要求。这可通过选择具有等波纹特性的逼近函数来达到。
贝赛尔(Bessel)滤波器是具有最大平坦的群延迟(线性相位响应)的线性过滤器。贝赛尔滤波器常用在音频天桥系统中。模拟贝赛尔滤波器描绘为几乎横跨整个通频带的恒定的群延迟,因而在通频带上保持了被过滤的信号波形。贝塞尔(Bessel)滤波器具有最平坦的幅度和相位响应。带通(通常为用户关注区域)的相位响应近乎呈线性。Bessel滤波器可用于减少所有IIR滤波器固有的非线性相位失真。
切比雪夫滤波器是在通带或阻带上频率响应幅度等波纹波动的滤波器,振幅特性在通带内是等波纹。在阻带内是单调的称为切比雪夫I型滤波器;振幅特性在通带内是单调的,在阻带内是等波纹的称为切比雪夫II型滤波器。采用何种形式的切比雪夫滤波器取决于实际用途。
当滤波器具有相同阶数时:
巴特沃斯滤波器通带最平坦,阻带下降慢。
切比雪夫滤波器通带等纹波,阻带下降较快。
贝塞尔滤波器通带等纹波,阻带下降慢。也就是说幅频特性的选频特性最差。但是,贝塞尔滤波器具有最佳的线性相位特性。
此外,还有椭圆滤波器,椭圆滤波器在通带等纹波(阻带平坦或等纹波),阻带下降最快。
(1)最大平坦性,幅频特性的前2n-1阶导数均为零,因此在截止频率前较为平坦,这个平坦也保证了信号的原始值,不会因为滤波被衰减。巴特沃斯低通滤波器的通频带最大扁平效应使通频带的增益得到扁平优化.
(2)幅频特性是单调下降,相频特性也是单调下降。巴特沃斯低通滤波器是全极点滤波器,所有零点都在无穷远处;它的幅度随频率的增加而单调下降,且频率无穷大时它的幅度才衰减完
(3)无论阶数n是什么数,都会通过[ω=ωb,|G(jω)|=1/槡2]点。而且n越大,其幅频响应就越逼近理想情况。

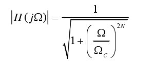
5、设计
在了解基本概念后,如何设计巴特沃斯滤波器滤波器是最关键的。对于巴特沃斯滤波器而言,n 阶巴特沃斯低通滤波器的振幅和频率关系可用如下的公式表示:

而巴特沃斯低通滤波器将其写为传递函数的形式,可以写为:

如果根据需要的截止频率、滤波器的阶数计算出上式中的所有系数b,即可完成对巴特沃斯滤波器的设计。以前其实是需要很完整的推导和计算的,现在matlab的实时更新对于巴特沃斯滤波器的工具箱进行充盈,在此记录一些工具函数的用法。
1、[N,wn]=buttord(wp,ws,rp,rs,s) buttord函数
此函数的功能是根据数字滤波器的通带、阻带截止频率、通带衰减倍数、阻带衰减倍数来计算巴特沃斯数字滤波器的阶数N和3dB截止频率wn。
其中,调用参数wp,ws分别为数字滤波器的通带、阻带截止频率,当ws≤wp时,为高通滤波器;当wp和ws为二元矢量时,为带通或带阻滤波器,这时w n 也是二元向量。rp,rs分别为通带最大衰减和组带最小衰减(dB)。
2 [B,A]=butter(N,wn‘,ftype’)butter 函数
此函数的功能是根据滤波器阶数N和截止频率 wn计算N阶巴特沃斯数字滤波器系统函数分子、分母多项式的系数向量B、A。其中,调用参数N和wn分别为巴特沃斯数字滤波器的阶数和3 d B 截止频率,一般是可与buttord格式计算N和wn配合使用。系数B、A是按照z-1的升幂排列,ftype为滤波器的类型。N,wn为butter函数的调用参数。
3 buttap 函数 [Z,P,K] = buttap(N)
函数可设计出N阶巴特沃斯低通滤波器的零、极点。
以一个例子来说说这个滤波器的设计过程,由于芯片计算能力有限,假如我们需要一个二阶的巴特沃斯滤波器,并且截止频率也设定为100rad/s。那么此时就可以直接用[B,A]=butter(N,wn‘,ftype’)函数,输入代码如下:
计算得出:

因此,此时可以得到传递函数的表达式如下所示:

6、性能测试
这个滤波器的优点好多地方已经介绍出来了,但是实际效果如何还是看波形最直接了,由于上述设计的巴特沃斯滤波器的截止频率为 100rad/s ,因此设计输入为 幅值为100,频率为10rad/s初始正弦信号,叠加一个幅值为100,频率为100rad/s的正弦波。将叠加波分别通过截止频率为100rad/s的低通滤波器及巴特沃斯低通滤波器。其波形如下图所示,图中第一行波形为原始信号,第二行为一阶低通滤波器滤波后信号,第三行为二阶巴特沃斯低通滤波器后的信号,可以从仿真波形看到,巴特沃斯低通滤波器的性能要远优于一阶低通滤波器。

接下来对两种低通滤波器的bode图进行分析,如下图所示,可以从图中看出两者的截止频率完全一致,但是在截止频率后的衰减巴特沃斯滤波器明显要比一阶低通滤波器更大,所以在稳态裕度允许的条件下,巴特沃斯滤波器性能更优。

总结
1、巴特沃斯(Butterworth)滤波器是一种具有最大平坦幅度响应的低通滤波器,保证了信号的原始值,不会因为滤波被衰减。
2、巴特沃斯滤波器的性能明显优于一阶低通滤波器。
3、n越大,其幅频响应就越逼近理想情况。(这个还未做,有兴趣的同学可以在我的基础上往下深入探究一下)
4、如果需要巴特沃斯滤波器模型的同学同志,可以在评论区留下你们的邮箱,我看到就会发过去。
7.计算工具

————————————————
版权声明:本文为CSDN博主「沉沙丶」的原创文章,遵循CC 4.0 BY-SA版权协议,转载请附上原文出处链接及本声明。
原文链接:巴特沃斯滤波器原理及其仿真设计_沉沙丶的博客-CSDN博客_巴特沃斯滤波器设计
免责声明:文章内容来自互联网,版权归原作者所有,本站仅提供信息存储空间服务,真实性请自行鉴别,本站不承担任何责任,如有侵权等情况,请与本站联系删除。
转载请注明出处:什么是巴特沃斯滤波器-巴特沃斯滤波器实例 https://www.7ca.cn/zsbk/zt/8091.html