巴特沃斯滤波器幅频特性
巴特沃斯低通滤波器的幅度二次方函数如下:

式中,n为阶数; wcw_{c} 为滤波器的截止频率,单位是 rad/srad/s ;当输入信号频率 ω\omega =截止频率 ωc\omega_{c} 时, |H(ω)|2=1/2|H(\omega)|^2=1/2 , wcw_{c} 对应的是滤波器-3dB点。下图给出不同阶次的巴特沃斯滤波器的幅频特性曲线。

从图上可以看出巴特沃斯滤波器具有以下几个特点:
幅值函数是单调递减的,在 ω=0\omega=0 处,具有最大的幅值 |H(ω)|=1|H(\omega)|=1 .在 ω=ωc\omega=\omega_{c} 处, |H(ωc)|=0.707=0.707|H(0)||H(\omega_{c})|=0.707=0.707|H(0)| ,即 |H(ωc)||H(\omega_{c})| 比 |H(0)||H(0)| 下降了3dB。当 ω\omega 趋于无穷时,幅值趋于0,。当阶数n增加时,通带幅频特性变平,阻带幅频特性衰减加快,过渡带变短,整个幅频特性趋于理想低通滤波特性。巴特沃斯滤波器的系统函数
巴特沃斯滤波器各阶归一化的分母多项式如下表:

其中,s¯=s/ωc\bar{s}=s/\omega_{c} ,设计巴特沃斯型的各阶滤波器时,直接代入即可。
一阶滤波器的传递函数
H(s)=1s¯+1=1sωc+1H(s)=\frac{1}{\bar{s}+1}=\frac{1}{\frac{s}{\omega_{c}}+1}
得到数字滤波器H(z)
这里使用向后差分法,将床底函数中的s用 1−z−1T\frac{1-z^{-1}}{T} 代替,其中T代表的是控制器计算周期。
H(z)=ωcs+ωc=ωc1−z−1T+ωc=ωcTωcT+1−z−1=Y(k)X(k)H(z)=\frac{\omega_{c}}{s+\omega_{c}}=\frac{\omega_{c}}{\frac{1-z^{-1}}{T}+\omega_{c}}=\frac{\omega_{c}T}{\omega_{c}T+1-z^{-1}}=\frac{Y(k)}{X(k)}
能搭出Simulink模型的差分方程
Y(k)⋅ωc⋅T+Y(k)−Y(k−1)=ωc⋅T⋅X(k)Y(k)\cdot\omega_{c}\cdot T+Y(k)-Y(k-1)=\omega_{c} \cdot T\cdot X(k)
即: (ωc⋅T+1)⋅Y(k)=Y(k−1)+ωc⋅T⋅X(k)(\omega_{c}\cdot T+1)\cdot Y(k)=Y(k-1)+\omega_{c} \cdot T\cdot X(k)
即: Y(k)=Y(k−1)+ωc⋅T⋅X(k)ωc⋅T+1Y(k)=\frac{Y(k-1)+\omega_{c} \cdot T\cdot X(k)}{\omega_{c}\cdot T+1}
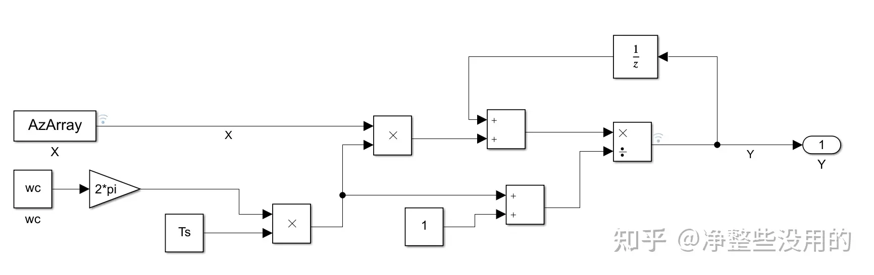
依据差分方程搭建Simulink模型

图中,AzArray来自MATLAB工作空间,导入试验场采集到的实车簧上加速度数据,wc为截止频率,我们习惯用hz表示,所以这里多乘以2pi。Y为滤波后输出。信号线上加了两个wifi,是为了将仿真数据记录下来,在MATLAB用脚本绘图分析。仿真步长为0.002s。
滤波效果对比分析
运行结果如下:


从时域图上看,有达到滤波效果。

传递函数的对比,可以发现,数字滤波器跟连续滤波器传递函数之间还是有差异,不过可以接受。在连续到离散变化中,用不同的变换方法,如双线性变换,结果可能会有点差异。
免责声明:文章内容来自互联网,版权归原作者所有,本站仅提供信息存储空间服务,真实性请自行鉴别,本站不承担任何责任,如有侵权等情况,请与本站联系删除。
转载请注明出处:基于巴特沃斯的数字滤波器设计及实现-巴特沃斯滤波器算法 https://www.7ca.cn/zsbk/zt/8095.html