翻译小组成员介绍: Alex
Alex,英语爱好者,现工作于洛阳
文章: http://betterexplained.com/articles/intuitive-understanding-of-sine-waves/译者: Alex 校对: 向海飞正弦波的直观解释 Intuitive Understanding of Sine Waves
正弦波(正弦曲线)曾使我迷惑不解。我可以一边念叨“正弦,余弦,正切”,一边画着三角形,但它意义何在?
我一直误认为正弦源于其他形状。设想场景:
你:几何讲的是形状、线条之类…
Alien:哦?老师能举一个线条的例子吗?
你(左顾右盼):嗯……看到那块砖头了吗?线条就是砖头的一条边。
Alien:所以,线条是形体的一部分。是吗?
你:差不多可以这么理解。大多数图形中包含线条。但线条本身是一个基本概念。比如一束光,地图上的一条路径,甚至…
Alien:砖头包含线条,线条来自砖头。砖头、砖头、砖头。
数学课几乎就是这个样子。“圆包含正弦,正弦来自圆。圆,圆,圆。”
哎呀!不对!圆只不过是正弦的一个例子。一句话:正弦是一种自然摆动,象征着平滑,它使得圆很“圆”,如同直线使得正方形很“方”。
让我们正确看待正弦形状本身以建立直觉,然后弄清楚这家伙和圆形等的关系!开始啦!
正弦和线条 Sine vs Lines
概念和例子是有区别的:线条是一个基本的概念,而正方形只它的一个例子。同理,正弦也是一个基本概念,并非圆的一部分。是不是开始柳暗花明。
我们通过下面的程序观察正弦。注意观察:
首先请点击开始键。好了,程序开始运行了!看到黄色小球正平稳地来回运动吗?那就是正弦!它是一种自然的摆动,如同弹簧的弹跳,钟摆的摆动,琴弦的振动…自然界中很多物体都可以做这种运动。
现在请将“垂直”选项设置为“线性”。是不是变化很大 – 运动变得固定和机械,如同一场乒乓球比赛?
通过视频我们能看得更清下面请看
线性运动是恒速的:以固定的速度运动,到边界后立即转身。机器人舞蹈就是这种不自然的线性运动(注意07秒的无缓冲线性反弹和38秒的迟滞效应)。
正弦运动是变速的:开始快,慢慢减速直至停止,然后又开始加速。液体波动就是这种迷人的平稳运动(注意12秒和23秒的正弦运动以及47秒的自然反弹)。遗憾的是,教科书并不用动画或者舞蹈来阐述正弦波,更喜欢把正弦波画在时间轴上(请将“水平”选项设置为“时间轴”)。

惊讶吧,这就是我们经常看到的正弦波示意图。从这张图里你能找到正弦运动的感觉吗?反正我是找不到。还是先观察正弦运动,然后记录它的运动轨迹吧。
绕不开的圆 The Unavoidable Circle
圆的确包含正弦,但是要从圆里看出正弦来,其难度不亚于从煎蛋饼里挑出鸡蛋。全混在一块儿啦!
不着急,慢慢来。我们回到上面的程序。重新设置为:
Vertical(垂直):none,
Horizontal(水平):sine*。
看黄色小球是不是开始水平摆动?那就是正弦运动。只不过我们做了些微调:正常情况下,正弦从中间点开始运动,迅速移动至最大点,然后返回中间点,周而复始。这次,黄色小球是从最大点开始,然后返回中间点。我们称从最大点开始的正弦为余弦。其实余弦只是正弦的一个不同版本(如同水平线是垂直线的不同版本。大家都是直线,只是方向不同罢了)。
万事俱备。是时候让两个正弦波同时动起来了:请将程序设置为:
vertical:sine,
horizontal:sine*…
见证奇迹的时刻到了,我们居然得到了一个圆!
水平向和垂直向的正弦运动组合得到圆周运动,多神奇!但是教科书从不这么解释。它们总是先画一个圆,然后试图从中分解出正弦。但是相对于“分解”,我更喜欢“组合”:先画水平正弦和垂直正弦,然后组合得到圆。
http://weixin.qq.com/r/nkjTyzvEb2YQrX_o9x2M (二维码自动识别)
快速问答 Quick Q & A
我初学正弦时可没有这些认识:
正弦是1维的
正弦波在1个维度摆动。现实中,我们常常把正弦波画在时间轴上,而且正弦运动的物体有时确实是在向前移动的。这给我们造成了一个假象:正弦运动是2维的。但并非如此!在1个维度弹跳的弹簧做得就是完美的正弦运动。

1维正弦运动

两个正弦波组合成圆
圆和正方形均是基本单元(正弦和线条)的组合。圆由1个水平向和1个垂直向的1维正弦波关联组合而成。

但是圆并不是正弦波的源,同样正方形也不是线条的源。它们仅仅是例子。
正弦值的意义是什么?
正弦值位于-1和1之间。它开始于0,逐渐增大至1.0(最大值),然后减小至-1.0(最小值),最后返回到0。如果把正弦值看成一个百分数,那么正弦运动就如同急行军,从0开始加速到100%(全速前进)后来又从-100%(全线撤退)回到0。
正弦sin(x)的输入x指的又是什么?
虽然有些费解,但是也可以弄清楚。sin(x)是一个无限循环,而输入x就是我们在这个循环里的位置。
还是先看看直线吧:
假设,你沿着一个在正方形的边行走,走完每条边需要10秒钟。
1秒后,你走完一条边的10%
5秒后,你走完那条边的50%
10秒后,你走完整条边
线性运动就是这样平淡无奇。现在看看正弦(注意“0到最大值”这个区间):

正弦波的递增区间
这次,我们沿着正弦波行走,从0(中间值)走到1.0(最大值)。此过程需时10秒。
5秒后,我们走完行程的70%!正弦运动在起始点的速度很快,然后慢慢减速。前5秒内就完成了大半行程。
剩下的5秒,我们将走完剩下的70%到100%这段行程。而且,最后98%到100%这段我们将整整走1秒钟。
尽管初始速度很快,但是正弦运动就是这样,它会温柔地减速,直至停在最大值,然后华丽转身。就是这份从容使得正弦波格外与众不同。
快速问答:线性循环的10%和正弦循环的10%,哪一个距离原点更远?答案是正弦。前面提到,正弦运动在原点的速度最快。当正弦运动完成循环的50%时,它的速度降低到线性运动的平均速度,之后正弦运动继续减速,直至停在最大点,然后返回。所以,在开始阶段正弦运动跑得比线性运动快。
可见,输入x是指完成循环的量。那么,循环又是什么呢?
这和应用背景密切相关。
在基础三角学中,x为角度,一个循环为360度。
在高阶三角学中,x为弧度(弧度更自然),一个循环为单位圆一周(2pi)
问题又来了,循环依赖于圆!我们还能摆脱圆的纠缠吗?

无形之 π – Pi Without Pictures
书接上文(点击这里查看), 让我们继续探索正弦曲线/正弦波…
假设Alien本人视力极差,仅能模糊地分辨明暗阴影。怎样向他描述 π 呢?因此就很难让Alien明白圆周的概念,对吧?
退一步,以旁观者的角度来观察。正弦是一个循环图案,意味着它要不断地重复!从0增加到1,然后开始减小到0,继续减小到-1,然后又回到0,周而复始。
定义π为正弦从0增加到1并回到0所需要的时间。这样一来,就可以脱离圆来使用π了。其实π的概念只是凑巧被显示在圆内罢了。

正弦是一种平缓的来回摆动
π是正弦从中间位置摆动到最大值然后回到中间位置所需要的时间
n*π(0*π,1*π,2*π,如此类推)是正弦运动处于中间位置的时刻
2*π,4π,6*π等等,是正弦运动完成整数倍循环的时刻
这就是π经常出现在公式里的原因!π和0和1一样并不属于圆 – π用于描述正弦运动回到中心位置的时刻。而圆只是一个与π相关的图形,它不断重复,并每2*π个单位时间回到原位一次。其实,弹簧,琴弦震荡等正弦运动也是每π个单位时间回中心位置一次。
问题:
如果π是半个循环,为何不是一个简单的整数呢?
这得先从另外一个问题入手。为何一个边长为1的正方形有一个长度为根号2(=1.414…一个无理数)的对角线?
当数学遇到难以解释的自然现象时,就会带来哲学上的困惑。虽然直觉不佳,但我仍然本能的意识到简单的规则(边长为1的正方形配上勾股定理)同样可以解决复杂的问题。
正弦运动有多快?- How Fast Is Sine?
前面,我“设想正弦运动从0到最大值需要10秒”。现如今,我又说正弦运动从0到最大值然后返回0需要π秒。那么正弦运动到底有多快呢?
sin(x)是正弦波的一种最为常见的表达式。它的确需要π个单位时间从0到最大值并返回0(或者需要2*π个单位时间完成一个循环)
sin(2x)的速度快一倍
sin(x/2)的速度慢一倍
以此类推,我们可用sin(n*x)来获得指定速度的正弦波。但通常情况下,“正弦波”指一种图形,而非速度。

第二部分:理解正弦波的定义 – Part 2: Understanding The Definitions Of Sine
这部分内容有些费脑 –如觉必要可先放松一下。通过上述学习,希望已经对正弦有了基本概念。接下来学习正弦的常用定义,研究之间的相互关系,并建立起“正弦直觉”。
定义1:三角形的高和圆
Definition 1: The Height Of A Triangle / Circle!
正弦首先是在三角形里发现的。你也许还记得我在文首念叨的“正弦,余弦,正切”

SOH: Sine is Opposite / Hypotenuse
余弦:余弦是邻边除以斜边
CAH: Cosine is Adjacent / Hypotenuse
正切:正切是对边除以邻边
TOA: Tangent is Opposite / Adjacent
直角三角形中,sin(x) 是角x的对边除以斜边。如果定义斜边为1,可以简化为:
正弦=对边
余弦=邻边
进一步,我们可以将斜边为1的三角形画在半径为1的圆内。

单位圆内的正弦
如果使用等比缩放的方法,一个圆可以包含所有的直角三角形。例如:
sin(45) = 0.707
将一根100英尺长竹竿一端抬高与地面形成45度角。则竹竿的最高点离地面10 * sin(45) = 7.07英尺。
一个8英尺的竹竿将离地面8 * sin(45) = 5.65英尺。
这种方法对建筑业意义非凡(不用实测金字塔就可得到相关尺寸)。遗憾的是,千年之后,我们却开始相信正弦是三角形的高。我们对正弦误解太深,它其实是一种显示在圆(和三角形)中的形状。
实际上,在许多问题上我们都会运用“图形模式”思考,想着正弦等于三角形的高,以提高解题效率。这很好,但别局限于此。
定义2:无穷级数 – Definition 2: The Infinite Series
我们此前避开了一个重大问题:怎样计算正弦值?计算器是通过画圆并测量长度得到正弦值的吗?
只是开个玩笑而已。下面来解开正弦的秘密:
正弦是与当前位置相反的加速度

以银行账户为例:你有一个固执的老板,他执意根据银行账户来确定你的工资增幅,并且增幅与你账户余额恰好相反。比如账户现有50美元,那么你下周工资增幅就是-50美元。当然,假如你当前本周工资是75美元,因此下周你仍然有25美元的收入(75-50)。但是,当这种“负的增幅”最终超过你的收入时,你账户就开始透支了。
但是,也用不着担心!一旦你的账户变成负的(比如为-50美元),老板会给你每周50美元的增幅。下周你的收入可能仍然负的,但是“正增幅”最终增幅会超过它,你的账户就开始增长。
恒定的向心力使循环得以持续:上升时,向心力会偷偷把你拉回来。这也解释了为什么正弦波在中间位置速度最快:从最大值开始的回落过程不断积累“负增长”。到达中间位置时,“负增长”达到最大。一旦越过中间位置,开始获得正能量,并逐渐放缓。
题外话:既然正弦是与当前位置相反的加速度,而圆又是由水平和垂直正弦波组成…所以,圆周运动可以描述为:在“一个持续的与当前位置相反的朝向水平和垂直中心的向心力”牵引下的运动。
正弦与微积分 – Geeking Out With Calculus
用微积分描述正弦曲线/正弦波。如同 e,正弦波可以分解为更细微的起伏:
正弦波从0开始以单位速度增长
此过程中,一个相反的加速度企图将它拉回原点
该如何理解这个过程?上述力量如何改变正弦波离原点的距离?
初始推力使得距离线性增长:y (离原点距离) = x (时间)
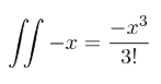
随时受到一个大小为 -x 的反方向作用力。通过双重积分,将负的加速度转换为距离:
加速度对距离的影响如同上例中工资增幅对银行账户的影响。“工资增幅”势必改变收入,而收入又改变银行账户(两个改变累‘积’发生作用)。
因此,不难猜到,x 秒之后正弦值为 x(初始值)减去 x³/3!(负加速度的影响):

但是,好像哪里出错了 — 正弦是一个平稳的过程,并不会骤然下降!e是 通过“增长产生增长”的模式逐渐缓缓递增的,正弦实质上也一样。“反作用力”使正弦离原点的距离减小 x³/3!,而这个‘减小’又产生了另外一个“反作用力”。观察弹簧不难发现:拉伸的弹簧向平衡点运动,然而它在向下回弹时又会越过平衡点,继而产生一个向上的拉力(同理,弹簧在向上回弹时也会越过平衡点)。疯狂的弹簧!
每一个“反作用力”都需要被考虑到:
y = x是初始状态,产生一个“反作用力”
y = -x³/3!,产生一个“反作用力”
y= x^5/5!,产生一个“反作用力”
y = -x^7/7! ,产生一个“反作用力”
……
正弦波的优化模型
如同e,正弦可以描述为一个无穷级数:

当我将正弦看作初始推力和反作用力的组合时,这个公式就容易理解了。初始推力(y=x,正方向)最终会被反作用力超过,而这个反作用力最终又会被它自己的反作用力所超过,周而复始,无限循环。
余弦与微积分 – The Calculus Of Cosine
余弦是位移后的正弦。既然已经理解了正弦,余弦当然不在话下!
正弦:开始于0,初始推力为 y = x (100%)
余弦:开始于1,无初始推力
所以,开始时余弦待在1这个地方,静候反作用力来推:

同理, 我们对-1双重积分得到第一个反作用力-x²/2! 。这个反作用力产生了第二个反作用力,第二个又产生了第三个…结果就得到下面的式子:

定义3:微分方程 – Definition 3: The Differential Equation
上式用特定的方程描述正弦。其实,一个更简洁的方法是用微积分方程:


WolframAlpha查询结果
这个公式极具数学之美:
初始位置为 y
加速度(二阶导数y)与当前位置相反(-y)
这个公式在正弦和余弦里都能得到验证。可是,一开始我是拒绝这个定义的。它和正弦的形象简直差之千里。然而,我没意识到它揭示了正弦的实质(“与当前位置相反的加速度”)。
正弦和 e 相互关联,而且e^x可用下式表述:


与正弦公式相似,只是符号变为正,即“加速度与当前位置相等”。然而,如果正弦仍然被表述为“圆内高度”,那么我们很难将它和 e 联系起来。
我很遗憾没有学好微分方程。但是现在我想学了,因为微分方程使得正弦表述起来更简洁,并且我觉得对正弦和e拥有直觉对学会数学尤为重要。
总结 – Summing It Up
本文目标是展示更多更多正弦的内容(基本的图形和的概念),而不是数学中一个微不足道的角色(圆的一部分)
正弦是在极大值(1)和极小值(-1)之间的平稳摆动。从数学角度看,就是加速度与当前位置相反。这个“负增长”使得正弦永不停歇的摆动下去。
正弦并非圆的一部分,只是碰巧出现在了圆和三角形里(弹簧,钟摆,琴弦震荡,声波等都是正弦波)
pi是sin(x)从中间位置出发然后又回到中间位置所需的时间。同样地,pi并不属于圆,也碰巧出现在圆里罢了。
把正弦装进“头脑工具箱”(以便用于产生平滑运动)。最终,我们将直观地理解这些基础概念(e,pi,弧度,虚数,正弦等等),并用它们做出一道美味的数学“大餐”!享受吧!(完)
「予人玫瑰, 手留余香」感谢支持微信号 [遇见数学]!
免责声明:文章内容来自互联网,版权归原作者所有,本站仅提供信息存储空间服务,真实性请自行鉴别,本站不承担任何责任,如有侵权等情况,请与本站联系删除。
转载请注明出处:正弦曲线/正弦波的直观解释 https://www.7ca.cn/zsbk/zt/9344.html