欧拉公式——上帝创造的数学公式

作者 | 民间数学家

来源 | 职业数学家在民间

一、上帝创造的数学公式

1743年,著名的数学家欧拉在一篇正式发表的论文中首次得到了如下这个结果

(欧拉公式) eit=cost+isint

其中e是自然常数,其值约为2.718;cos和sin分别是余弦和正弦函数;i是虚数,满足 i²=-1。当t=π时cosπ=-1,sinπ=0,于是上面公式变成

(欧拉公式) eiπ+1=0

第二个公式更广为流传,短短的公式中聚集了五个最著名的数学常数:

0,1,i(虚数),π(圆周率),e(自然对数)

因此,第二个公式也被数学家们称为“上帝创造的数学公式”

二、解构欧拉公式

我们来看欧拉公式中的五个常识

0,1,i,π,e

和三个函数

ex,cost,sin t

其中0和1无需多言,i在我们此前的文章《复数——几何直观和代数运算的交响乐》中也彻底讲明白了。圆周率π就是单位圆(半径为1的圆)周长的一半。还有函数 cost,sin t ,它们分别表示(以原点为圆心的)单位圆周上,逆时针偏离(1,0)点弧长距离为t的点的横坐标和纵坐标,

欧拉公式——上帝创造的数学公式

到了自然函数e和指数函数ex问题就来了,

自然常数e为什么会称为自然?

指数函数ex当x为有理数时,可以用乘方和开根号来定义,

对于一般实数是不是要用极限定义?

欧拉公式中指数函数ex甚至取x值为虚数,那又该如何定义?

这些问题正是欧拉公式给许多人留下神秘印象的原因。要解释清楚欧拉公式和这么多问题,我们该选择从哪里入手作为起点呢?

三,起点

我们选择的起点就是用幂级数定义的函数E(x)

欧拉公式——上帝创造的数学公式

很多人在这里可能要问:

为什么选择这个幂级数作为起点?

因为唯有如此,才能最便捷最有效地理解欧拉公式,请拭目以待!

注意这个函数E(x)对于所有的复数x都是可以定义的,这一点非常重要。

好了,接下来,我们将从这个起点出发,推导出两个方程(微分方程,函数方程)和一个共轭等式,这三者对我们理解欧拉公式都是至关重要的!

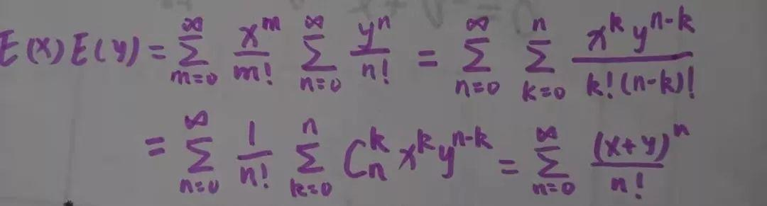
(函数方程) E(x)E(y)=E(x+y)

我们直接推导这个函数方程:

欧拉公式——上帝创造的数学公式

大家注意推导中最后一步使用了二项式定理,实际上函数方程是二项式定理的生成函数表达式,换句话说

函数方程和二项式定理是等价的

(除了二项式定理外,还有很多组合恒等式可以写成生成函数的形式,有兴趣的朋友可以自主探索一下。)

好了言归正传,如果我们令

欧拉公式——上帝创造的数学公式

那么根据函数方程,

E(2)=E(1)E(1)=e2

E(3)=E(2)E(1)=e3

……..

所以E(x)=ex 对所有整数x都是成立的。再根据函数方程

E(1/3)E(1/3)E(1/3)=E(1/2)E(1/2)=E(1)=e

又因为E(1/2),E(1/3)都是正数,所以

E(1/2)=e1/2

E(1/3)=e1/3

进一步可以推导出E(x)=ex 对所有有理数,对所有实数(取极限)都是成立的。所以E(x)是指数函数ex 的推广。对于复数x,我们也把E(x)写成ex。比如eit就是:

欧拉公式——上帝创造的数学公式

(微分方程) (ex )=ex

逐项求微分就可以得到这个微分方程:

欧拉公式——上帝创造的数学公式

相信不少人都知道e可以用复利的方式来理解:

假如有人借给你1万元高利贷,年化利息是100%,那么一年后结算,你要还他2万元。但是如果他半年后结算,就是(1+1/2)万,然后再借给你,半年后再结算,那就是(1+1/2)2万=2.25万。如果每四个月结算一次,那一年后就是(1+1/3)3万≈2.37万。如果把一年分成许多个,甚至无数多个时间段,不停地,连续地复利结算,那最后的结果就是极限

欧拉公式——上帝创造的数学公式

这个极限也是约等于2.718。也就是说最先的1万元,在一年的时间内连续复利,最后变成约等于2.718万元

另一方面,当x从0连续变到1的时候,函数ex的值是从1增长到e,而且ex的微分方程表明,这种增长方式也是每个时刻都以自身的值作为增长率,这和上述的复利模式是相同的。所以我们很直观地从ex的微分方程看出

欧拉公式——上帝创造的数学公式

e表示单位量在单位时间内”自然增长”得到的数量,所以称为自然常数。这种自然增长的模式在自然界中经常碰到,比如细菌和其他微生物的繁殖等

在讲函数ex的共轭等式之前,我们先复习一下共轭复数的概念:

复数z=x+yi的共轭复数是定义为z=x-yi,对应到平面上就是两个关于x轴对称的点。

欧拉公式——上帝创造的数学公式

很容易验证,共轭和加法,乘方运算是交换的:

欧拉公式——上帝创造的数学公式

两个互为共轭复数的乘积刚好等于模的平方:

zz=|z|2

(共轭等式)

欧拉公式——上帝创造的数学公式

这个等式的推导也很简单:

欧拉公式——上帝创造的数学公式

共轭等式告诉我们,函数ex在一对共轭复数处取的值也是互为共轭的。

四,揭开欧拉公式的神秘面纱

我们现在重新来审视欧拉公式

(欧拉公式) eit=cost+isint

这个公式的左边是一个定义在整个实数轴上的复值函数,也就是说,对于每个实数t,都对应着唯一的复数eit。我们在文章《复数——几何直观和代数运算的交响乐》中讲过,复数和平面上的点一一对应。所以如果我们把数轴看成时间直线的话,

欧拉公式——上帝创造的数学公式

eit就可以看作是一个质点在平面上的运动,在t 这个时刻,质点的位置是eit。

但是这个公式的右边也是一个定义在整个实数轴上的复值函数,也可以看作是一个质点在平面上的运动。我们在第一节中说过,函数 cost,sin t 分别表示(以原点为圆心的)单位圆周上,逆时针偏离(1,0)点弧长距离为t的点的横坐标和纵坐标,

也就是说,在时刻t,质点在单位圆周上走过长度为t的路程。换句话说,欧拉公式的右边代表质点绕单位圆做逆时针匀速圆周运动,速度为1。

欧拉公式——上帝创造的数学公式

所以,我们要说明欧拉公式的左边eit也代表质点绕单位圆做逆时针匀速圆周运动。我们先来说明为什么函数eit的值总是落在单位圆周上。根据ex的共轭等式

欧拉公式——上帝创造的数学公式

而根据ex的函数方程

欧拉公式——上帝创造的数学公式

所以eit也确实代表质点在单位圆上的运动。如何说明这种运动是逆时针匀速呢?我们可以看它的速度向量,也就是eit的导函数。根据ex的微分方程,我们有

欧拉公式——上帝创造的数学公式

所以,每个时刻的速度向量都是位置向量顺时针旋转90度,

欧拉公式——上帝创造的数学公式

因此eit确实也代表质点绕单位圆做逆时针匀速圆周运动,速度也为1。

所以,既然左右两边的函数代表的是同一个运动,欧拉公式自然就成立了。另外,在时间 t=π时,质点刚好走过半圆周,达到点(-1,0)。这时欧拉公式就变成

欧拉公式——上帝创造的数学公式

根据ex的函数方程,

欧拉公式——上帝创造的数学公式

利用欧拉公式,这个等式可以写成

欧拉公式——上帝创造的数学公式

大家能不能看出来这实质上就是三角函数的和差化积公式。实际上,在以欧拉公式为背景之下

ex的函数方程和三角函数的和差化积公式是等价的!

四,高观点下的欧拉公式

上一节讲过,欧拉公式可以看作单位圆上的匀速圆周运动。现在我们把欧拉公式和函数eit看成是实数轴到单位圆的函数或映射。

直观上看,这种映射可以看作线环绕圆周

其实,实数轴和单位圆都是最特殊的李群。我们简单说明一下,首先实数有加法运算,有单位元0,还有加法运算的逆运算减法,而且这些运算都可以看成是二元光滑(无限可微)函数,这些性质大体上构成了李群的定义。类似地,所有模为1的复数(对应单位圆上的点)上有乘法运算,也是可逆的,也有单位元1,也满足光滑条件,所以也是一个李群。

根据ex的函数方程,

所以函数eit把实数的加法转化成单位圆上的乘法,因此欧拉公式可以理解为两个李群之间的同态,这是李群同态最简单的例子。(所谓的同态就是一个李群到另一个李群的光滑映射,把单位元映射成单位元,且把一个李群的运算转化成另一个李群的运算)

从拓扑的角度来看,欧拉公式所表示的实数轴到单位圆的映射其实是单位圆的万有复叠映射。这个万有复叠映射表明单位圆的基本群(一个拓扑不变量)是非平凡的,而这个事实是代数学基本定理的拓扑证明的基石。

实数轴到单位圆的这个映射还可以从李代数的角度来理解,这时,实数轴代表单位圆在单位元处的切空间。

这种映射可以推广到任意李群和李代数,不过我们只提一个简单的推广:行列式非零的n阶方阵群(运算是矩阵乘法),和n阶方阵李代数。(注意单位圆上的复数可以看成是1阶方阵)

这个时候的映射是定义为:

n阶方阵→ 行列式非零的n阶方阵

大家注意这是指数函数ex的幂级数展开的直接推广,这也是我们选择ex的幂级数作为起点的另一个原因!

传播数学,普及大众

欢迎把我们推荐给你身边的朋友

免责声明:文章内容来自互联网,版权归原作者所有,本站仅提供信息存储空间服务,真实性请自行鉴别,本站不承担任何责任,如有侵权等情况,请与本站联系删除。
转载请注明出处:欧拉公式——上帝创造的数学公式 https://www.7ca.cn/zsbk/zt/23142.html

欧拉的这个著名公式探秘了多面体的秘密
上一篇 2024年5月20日 19:11:07
欧拉的“顶流”之路
下一篇 2024年5月20日 19:13:41

联系我们

在线咨询: QQ交谈

邮件:362039258#qq.com(把#换成@)

工作时间:周一至周五,10:30-16:30,节假日休息。